г. Минск, 220 073, ул. Скрыганова, 14, помещение номер 23
info@ilpa-tech.ru
Беларусь
+375 (29) 626-19-06
Электрохимическая спектроскопия импеданса (EIS) — это режим измерения, который позволяет электрохимикам получить доступ и понять процессы, происходящие на границе раздела электродов.
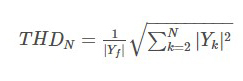
THD показывает, достаточно ли мала амплитуда модуляции тока или потенциала, применяемой к системе, чтобы считать, что система ведет себя линейно. Если он ведет себя нелинейно, выходной сигнал будет содержать некоторые гармоники. THD количественно определяет нелинейность, оценивая амплитуды N гармоник:

где |Yƒ|- амплитуда сигнала на основной частоте ƒ (или первая гармоника) и |Yƒ| – амплитуда k-го номера гармоники.
THD выражается в процентах. Обычно считается, что THD ниже 5 % является приемлемым для надежных данных EIS. В EC-Lab® он рассчитывается по потенциалу и току, а также по 7 гармоникам, включая основную (N=7N=7 в уравнении).
Можно выделить две причины нестационарности системы:
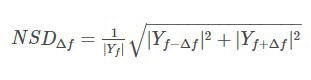
Отклик нестационарной системы будет содержать, помимо основной частоты, некоторые соседние частоты.
Следовательно, показатель NSD определяется как:

где |Yƒ|- амплитуда сигнала на основной частоте ƒ (или первая гармоника) и |Yƒ−Δƒ| и |Yƒ+Δƒ| амплитуды пиков рядом с основной частотой и Δƒ разрешение по частоте, обратное общему времени измерения.
NSD выражается в процентах и рассчитывается по потенциалу и по току.
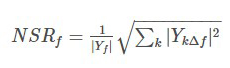
В идеальном измерении EIS вся энергия сигнала содержится в основной частоте, но из-за различных факторов, таких как точность и прецизионность измерительного устройства или внешние возмущения, может быть некоторая энергия на других частотах, кроме основной, т.е. гармоники и смежные частоты. Этот дополнительный сигнал называется шумом.
NSR количественно определяет степень шума в электрохимическом измерении. Он выражается с помощью следующей формулы:


Он представляет все сигналы, не содержащиеся в:
Дополнительная информация
Нажмите здесь, чтобы загрузить полезный плакат с вопросами и ответами по индикаторам качества BioLogic.
Поиск правильной амплитуды : NSR и NSD можно использовать для определения правильной амплитуды переменного тока входного сигнала в ваших измерениях EIS. Необходимо минимизировать NSR, но THD не должен превышать 5% на всех частотах. 5% — произвольное значение, зависящее от вашей системы и частоты. 5% также можно использовать в качестве порогового значения, выше которого данные EIS можно считать недостоверными.
Поиск правильного диапазона частот : аналогичным образом NSD также можно использовать для определения, на каких частотах ваши данные можно считать надежными. Обычно NSD увеличивается на более низких частотах, если ваши изменения не выполняются быстрее, чем входная частота, что на самом деле никогда не бывает. Разница во времени обычно приводит к медленным изменениям, видимым только ниже 1 Гц. Поэтому, если временная дисперсия вашей системы не может быть адаптирована, данные, полученные на частоте, для которой NSD превышает 5%, следует исключить.
г. Минск, 220 073, ул. Скрыганова, 14,
помещение номер 23
+375 (29) 626-19-06
info@ilpa-tech.ru