г. Минск, 220 073, ул. Скрыганова, 14, помещение номер 23
info@ilpa-tech.ru
Беларусь
+375 (29) 626-19-06
Исследования импеданса предлагают более глубокое понимание электрохимических систем. Но изучение альтернативных сигналов приводит к технологическим проблемам, с которыми сталкиваются анализаторы импеданса и, в более общем смысле, анализаторы частотных характеристик (FRA).
Как следует из названия, FRA анализирует выходной сигнал стимулируемой системы. Он основан на анализе преобразования Фурье (см. описание ниже), который позволяет изучать сигнал в частотной области, а не во временной области, чтобы охарактеризовать тестируемую систему.
Анализ преобразования Фурье основан на утверждении, что все периодические сигналы можно разложить на сумму нескольких синусоидальных сигналов? Рисунок 1 описывает пример треугольной волны.

Рисунок 1: Пример выражения, приводящего к треугольной волне путем добавления синусоидальных компонентов.
Рисунок 2 описывает пример прямоугольной волны.

Рисунок 2: Пример выражения, приводящего к прямоугольной волне путем добавления синусоидальных составляющих.
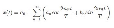
Приведенные выше выражения происходят из ряда Фурье:

an и bn – коэффициенты Фурье.
Преобразование Фурье позволяет изучать сигналы в частотной области, а не во временной области. Он разбивает сигнал на несколько синусоидальных сигналов и отображает амплитуду каждого сигнала в зависимости от частоты. Пример приведен на рисунке 3.

Рисунок 3: Пример преобразования Фурье.
Графики, описанные в «частотной области», представляют собой преобразования Фурье сигналов, показанных во временной области.
Система FRA применяет возмущающий сигнал X(t) к тестируемому устройству и анализирует ответ устройства S(t) путем умножения и интегрирования сигнала, как показано на рисунке 4 ниже. Система FRA способна анализировать периодический сигнал независимо от его природы. Это могут быть токовые или потенциальные сигналы для электрохимических экспериментов, но это также может быть изменение массы, например, для гравиметрических экспериментов.

Рисунок 4: Принцип системы FRA.
В электрохимии FRA ассоциируется с потенциостатом, который обеспечивает входной сигнал постоянного тока или потенциала. Рисунок 5 ниже описывает общий принцип такой системы.

Рисунок 5: Принцип работы системы FRA, связанной с потенциостатом/гальваностатом
X(t) представляет собой синусоидальный сигнал, генерируемый системой FRA и посылаемый на потенциостат.
Сигналы напряжения и тока умножаются на синус и косинус тестовой частоты. Результаты умножения интегрируются за период T, который должен быть целым числом, кратным частоте испытаний.
Выходными данными анализатора являются мнимая и действительная части тока и напряжения. Эти данные позволяют рассчитать импеданс системы.

Система FRA интегрирована в потенциостаты/гальваностаты Biologic.
Анализатор импеданса может изучать сигналы напряжения и тока только в частотной области, в то время как FRA может изучать любые сигналы, не различая сигналы природы.
г. Минск, 220 073, ул. Скрыганова, 14,
помещение номер 23
+375 (29) 626-19-06
info@ilpa-tech.ru