г. Минск, 220 073, ул. Скрыганова, 14, помещение номер 23
info@ilpa-tech.ru
Беларусь
+375 (29) 626-19-06
Микровесы на кристаллах кварца (QCM) - это метод, основанный на пьезоэлектрических свойствах кварца и позволяющий измерять чрезвычайно малые изменения массы вплоть до доли монослоя. Используемый в качестве EQCM (электрохимический QCM), он позволяет контролировать электрохимический потенциал исследуемой поверхности и, следовательно, изменять и/или характеризовать поверхностный заряд и/или поверхностные концентрации электроактивных веществ.
Пьезоэлектричество - это свойство кристалла, которое превращает механическое давление в электрическое поле, пропорциональное приложенному давлению. Это было открыто Рене Жюстом Хауи (1743-1822), но более серьезно изучено Пьером и Жаком Кюри в 1880 году. Косвенный пьезоэлектрический эффект, при котором кристалл, подвергнутый воздействию электрического поля, механически деформируется, был обнаружен через несколько лет после этого.
Существует много других пьезоэлектрических материалов, но кварц обладает рядом преимуществ:
Когда электрическое поле переменного тока соответствующей частоты прикладывается между двумя сторонами кварцевой пластины, кварц начинает вибрировать. Режим колебаний, в основном используемый в QCM, - это режим сдвига по толщине: с каждой стороны узлового плана, представленного точкой, кристаллические планы перемещаются с одинаковой амплитудой, но в противоположном направлении, как показано на анимированном изображении ниже.

Рисунок 1: Сдвиговая вибрация кварцевой пластины, подвергнутая электрической модуляции переменным током между двумя электродами Au.
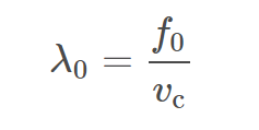
На резонансной частоте амплитуда смещения максимальна и получается, когда:

Где n − гармонический режим или порядок обертонов,λ0 - длина волны акустической волны в м-1, d - толщина кристаллической пластины в м.
Длина волны λ0 связана с резонансной частотой f0 посредством:

Где vc − сдвиговая или тангенциальная скорость кристалла в мс-1.
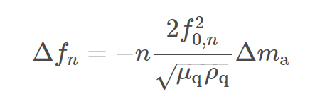
Используя уравнения (1) и (2) получаем следующее уравнение:

Резонатор или датчик состоит из кварцевой пластины, боковые стороны которой покрыты электронным проводником, обычно Au. Иногда между кварцем и электродами добавляется адгезионный слой, чаще всего Cr или Ti. Обычно предпочтителен Ti из-за его электрохимической стабильности, а также потому, что загрязнение Au-электрода в два раза меньше, чем Cr [2]. Между двумя параллельными электродами подается переменное напряжение, и кварц вибрирует. Предполагается, что электроды Au движутся с той же скоростью, что и кварцевые, и акустическая волна распространяется в металлических электродах с той же скоростью, что и в кварце.
В 1959 году Сауэрбрей был первым, кто установил взаимосвязь между изменением массы и изменением резонансной частоты на основе уравнения (3):

Это соотношение использовалось главным образом для контроля изменения массы или толщины пленок, нанесенных в вакууме. В этих условиях считается, что пленка является жестким слоем и что волна распространяется в пленке с той же скоростью, что и в кварце и электродах (рис. 1). Согласно уравнению (3), увеличение толщины вызывает изменение резонансной частоты f0.

Рис. 2: Акустическая стоячая волна, проходящая через датчик с жестким слоем.
До 1980-х годов считалось, что такое массовое поглощение невозможно измерить в растворе из-за затухания стоячей волны в вязкой среде. Было обнаружено, что в растворе добавление жесткого слоя к резонатору имеет тот же эффект, что и в воздухе или вакууме, и что сдвиги частоты также могут быть успешно измерены и связаны с изменениями толщины и массы. Первым применением в электрохимии было электроосаждение Ag и Cu.
Можно видеть, что сдвиг частоты Δfn пропорционален массе площади Δma из осаждаемого материала, что означает, что он не зависит от поверхности электрода.
г. Минск, 220 073, ул. Скрыганова, 14,
помещение номер 23
+375 (29) 626-19-06
info@ilpa-tech.ru