г. Минск, 220 073, ул. Скрыганова, 14, помещение номер 23
info@ilpa-tech.ru
Беларусь
+375 (29) 626-19-06
Кольцо с вращающимся кольцевым дисковым электродом (RRDE) может использоваться в качестве потенциометрического или амперометрического датчика pH in situ. Это чрезвычайно полезно для изучения электрохимических реакций, в которых участвуют ионы OH– или H+, например, электроосаждения и электрокатализа. Ключевые области применения этого зонда включают: топливные элементы, удаление загрязнений, датчики, накопители водорода, металлические/воздушные батареи и т.д.
Вращающийся дисковый электрод (RDE) позволяет изучать электрохимические реакции в контролируемых стационарных гидродинамических условиях, предоставляя доступ к массопереносу и кинетическим параметрам. Добавление кольца, концентрического к диску, позволяет собирать образцы, образующиеся на диске (рис. 1). В некоторых приложениях теоретические расхождения позволяют идентифицировать промежуточные соединения и изучать реакции объемных однородных соединений, образующихся на диске.

Рисунок 1: Описание вращающегося кольцево-дискового электрода
Другое интересное применение касается использования кольца в качестве потенциометрического или амперометрического межфазного датчика pH. Такие кольца имеют ценность в качестве датчиков, поскольку гораздо легче обнаружить изменение pH в радиальном направлении r, чем в нормальном направлении y (рис. 1).
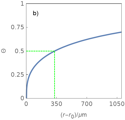
Используя работу, выполненную Олбери, Хессами и др., и программное обеспечение для моделирования Mathematica, мы смогли построить профили концентрации вещества, образующегося на диске, как вдоль нормальной оси y (рис. 2а), так и вдоль радиальной оси r (Рисунок 2b). Предполагается, что гомогенных реакций нет, что перенос частиц осуществляется только путем диффузии-конвекции и что дисковый электрод однородно доступен.
Переменная Θ представляет собой нормализованную концентрацию:

Где C
r0 - радиус диска. Что можно увидеть, сравнив рис. 2а с рис. 2b означает, что для данной концентрации, например, Θ=0.5, измерительный зонд должен располагаться чуть ниже 10 мкм над диском в нормальном направлении (рис. 2а) или чуть ниже 350 мкм от края диска в радиальном направлении при y=0 (рис. 2b). Разместить кольцо на расстоянии 350 мкм от диска намного проще, чем приблизить зонд на расстоянии 10 мкм от электрода. Вот почему RRDE в качестве рН-зонда является интересным кандидатом.

Рисунок 2: Нормализованный профиль концентрации Θ в зависимости от а) нормального расстояния y при r=0 и б) радиального расстояния от края диска r–r0 при y=0.
В нескольких работах показано использование RRDE для мониторинга изменений рН на границе раздела фаз или поверхности. В основополагающей работе Олбери представлены результаты, полученные на кольцевом электроде с покрытием из висмута. Кольцо остается разомкнутым, в то время как никелевый диск поляризуется при различных токах.
Работа Хессами показывает экспериментальные данные, полученные в случае электроосаждения металла. Действительно, восстановление ионов металлов происходит путем гидроксилирования, гидролиза воды и выделения водорода. Платиновая сажа, нанесенная на потенциометрическое кольцо, используется в качестве обратимого материала для ионов водорода.
Оксид иридия, нанесенный на кольцо Ti, также использовался в качестве материала для определения рН. Он использовался для обнаружения изменений рН во время реакции восстановления кислорода (ORR, вызывающей повышение рН) и восстановления воды (вызывающей снижение рН).
Другое применение включает изучение окисления этанола, скорость реакции которого сильно зависит от рН. В этой конкретной работе они использовали Pt в качестве материала для обнаружения ионов H+ на кольце, поляризованном при 0,1 В/RHE.
Алмазный кольцевой дисковый электрод, легированный бором, использовался в неподвижном электролите для локального контроля и регулировки рН на диске. Электролиз воды и образование протонов происходят на кольце, в то время как удаление ртути происходит на диске с помощью циклической вольтамперометрии. Наличие и положение пиков отслаивания зависят от рН.
Аналогичный метод был использован с кольцево-дисковым электродом, состоящим из диска Au и кольцевого электрода Pt, при вращении (1600 об/мин), когда на диске Au поддерживается постоянный потенциал для катализа реакции восстановления CO2 (CO2RR), в то время как к кольцевому электроду Pt применяется циклическое изменение потенциала для обнаружения продукты реакции транспортируются с диска на кольцо. Положение пиков зависит от рН. Для потенциометрического измерения локальных изменений рН поверхности использовался другой кольцево-дисковый электрод с кольцом из оксида иридия.
Поскольку кинетика и условия массопереноса хорошо описаны в обоих случаях, вращающийся кольцевой дисковый электрод представляет собой метод, аналогичный использованию ультрамикроэлектродного зонда (UME), используемого в непосредственной близости над вторым электродом (известный в мире сканирующей электрохимической микроскопии как режим генерации/сбора). В конкретном случае измерения рН вращающийся кольцевой дисковый электрод демонстрирует преимущество в том, что он менее сложен в реализации, поскольку зондирующий электрод не обязательно должен иметь толщину диффузионного слоя, чтобы иметь возможность обнаруживать изменения, но может быть расположен на расстоянии сотен микрометров от края диска в радиальном направлении. направление. Благодаря этой универсальности существует множество применений, например, электроосаждение, удаление загрязнений, электрокатализ, и этот метод относительно прост в реализации.
г. Минск, 220 073, ул. Скрыганова, 14,
помещение номер 23
+375 (29) 626-19-06
info@ilpa-tech.ru